728x90
반응형
SMALL
Fan-in (팬인)
“나를 호출하는 모듈의 수”
- 즉, 현재 모듈을 사용하는(의존하는) 다른 모듈의 개수
- 높을수록 재사용성↑, 하지만 너무 높으면 변경 시 영향 범위↑
Fan-out (팬아웃)
“내가 호출하는 모듈의 수”
- 즉, 현재 모듈이 사용하는(의존하는) 다른 모듈의 개수
- 낮을수록 독립성↑, 너무 높으면 결합도↑ → 유지보수성↓
요약
- Fan-in: “나를 부르는 애 몇 명?” → 나를 호출하는 수
- Fan-out: “내가 부르는 애 몇 명?” → 내가 호출하는 수
좋은 설계 기준
- Fan-in 높고, Fan-out 낮은 모듈이 재사용성·안정성이 좋다.
→ 즉, “많이 쓰이지만, 의존은 적은” 모듈이 이상적!
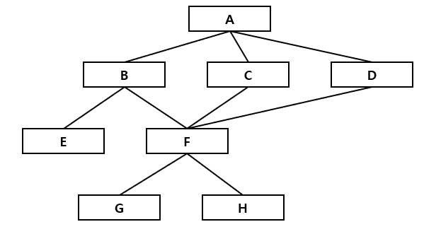
예시
모듈 F에서Fan-in : 3
Fan-out : 2

728x90
반응형
LIST